Đường trung bình (MA) là gì?
Đường trung bình, hay còn gọi là đường MA (Moving Average), là một trong những chỉ báo phân tích kỹ thuật nền tảng và quan trọng nhất trong chứng khoán. MA được tạo ra bằng cách lấy giá trung bình của cổ phiếu trong một số phiên giao dịch nhất định, sau đó vẽ thành một đường liên tục trên biểu đồ giá.Về bản chất, MA giúp làm mượt biến động giá, loại bỏ nhiễu ngắn hạn và từ đó phản ánh xu hướng chính của thị trường. Chính vì vậy, đường trung bình được sử dụng rộng rãi bởi nhà đầu tư cá nhân, tổ chức lớn và các quỹ đầu tư chuyên nghiệp.

Tại khoahocchungkhoan.vn, MA được xem là kiến thức cốt lõi bắt buộc mà bất kỳ nhà đầu tư nào cũng cần nắm vững trước khi tiếp cận các chỉ báo kỹ thuật nâng cao.
Đọc thêm: Chỉ báo MCDX là gì? Cách nhận biết dòng tiền lớn trong chứng khoán
Ý nghĩa của đường trung bình trong đầu tư chứng khoán
Đường trung bình không chỉ là một đường kỹ thuật đơn thuần mà còn mang nhiều ý nghĩa thực tiễn trong giao dịch.
Trước hết, MA giúp xác định xu hướng thị trường. Khi giá nằm trên MA và MA hướng lên, xu hướng tăng chiếm ưu thế. Ngược lại, khi giá nằm dưới MA và MA dốc xuống, xu hướng giảm thường chiếm quyền kiểm soát. Trong giai đoạn thị trường đi ngang, MA có xu hướng đi ngang và cho tín hiệu kém hiệu quả hơn.
Bên cạnh đó, MA còn đóng vai trò là vùng hỗ trợ – kháng cự động. Trong xu hướng tăng, giá thường điều chỉnh về gần MA rồi bật tăng trở lại. Trong xu hướng giảm, MA trở thành vùng cản khiến giá khó vượt qua.
Ngoài ra, MA được sử dụng để xác nhận điểm mua – bán thông qua tín hiệu giao cắt, giúp nhà đầu tư nhận diện sự thay đổi xu hướng một cách có hệ thống. Tuy nhiên, cần lưu ý rằng MA là chỉ báo trễ, do được tính toán từ dữ liệu quá khứ, nên phù hợp để xác nhận xu hướng hơn là bắt đáy hay đỉnh tuyệt đối.
Các loại đường trung bình phổ biến hiện nay
Trên thị trường có nhiều loại đường trung bình khác nhau, nhưng tại khoahocchungkhoan.vn, ba loại MA phổ biến và quan trọng nhất gồm SMA, EMA và WMA.

Đường trung bình SMA
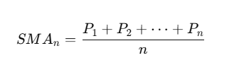
SMA (Simple Moving Average) là đường trung bình cộng đơn giản nhất, được tính bằng cách lấy tổng giá của n phiên gần nhất chia cho n.
Công thức SMA

SMA có ưu điểm là ổn định, dễ hiểu, phản ánh tốt xu hướng trung và dài hạn. Tuy nhiên, do mọi phiên đều có trọng số như nhau nên SMA phản ứng chậm khi giá đảo chiều nhanh.
Để giúp nhà đầu tư dễ hình dung, khoahocchungkhoan.vn minh họa cách tính MA thông qua ví dụ giá đóng cửa cổ phiếu trong 5 phiên liên tiếp.
Dữ liệu giá giả định

Ví dụ tính SMA5

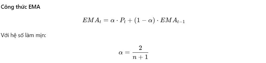
Đường trung bình EMA
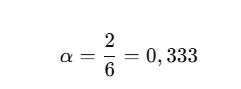
EMA (Exponential Moving Average) là đường trung bình động hàm mũ, trong đó giá ở các phiên gần hiện tại được gán trọng số lớn hơn.

EMA phản ứng nhanh hơn SMA, phù hợp với giao dịch ngắn hạn và theo xu hướng sớm, nhưng cũng dễ tạo tín hiệu nhiễu trong thị trường biến động mạnh.
Ví dụ tính EMA5
Hệ số làm mịn:

Đường trung bình WMA
WMA (Weighted Moving Average) là đường trung bình có trọng số tuyến tính, trong đó phiên mới nhất có trọng số cao nhất, các phiên cũ giảm dần.
Công thức WMA

Ví dụ tính WMA5Cách áp dụng đường MA vào giao dịch chứng khoán

Cách áp dụng đường MA vào giao dịch chứng khoán

Xác định xu hướng thị trường
Nguyên tắc cốt lõi là chỉ giao dịch thuận xu hướng:
-
Giá nằm trên MA và MA dốc lên → xu hướng tăng
-
Giá nằm dưới MA và MA dốc xuống → xu hướng giảm
Nhà đầu tư an toàn ưu tiên mua trong xu hướng tăng và hạn chế giao dịch ngược chiều.
Giao dịch khi giá cắt MA
-
Giá cắt lên trên MA: tín hiệu tăng ngắn hạn
-
Giá cắt xuống dưới MA: cảnh báo rủi ro điều chỉnh
Cách này hiệu quả hơn khi kết hợp với khối lượng giao dịch.
Giao dịch theo giao cắt giữa các MA
-
MA ngắn hạn cắt lên MA dài hạn → tín hiệu tăng
-
MA ngắn hạn cắt xuống MA dài hạn → tín hiệu giảm
Ví dụ thường dùng: MA20–MA50, MA50–MA200 (Golden Cross – Death Cross).
MA như hỗ trợ – kháng cự động

Trong xu hướng tăng, MA (MA20, MA50) thường là vùng canh mua theo xu hướng.
Trong xu hướng giảm, MA trở thành vùng kháng cự để canh bán hoặc tránh mua đuổi.
Cách tìm đường MA phù hợp với mục tiêu đầu tư

Việc lựa chọn đường trung bình động phù hợp là yếu tố quan trọng quyết định hiệu quả sử dụng MA. Không tồn tại một đường MA tốt nhất cho tất cả mọi người, mà mỗi nhà đầu tư cần lựa chọn MA phù hợp với mục tiêu và phong cách của bản thân.
Theo kinh nghiệm tại khoahocchungkhoan.vn, nhà đầu tư nên dựa vào ba yếu tố cốt lõi.
Thứ nhất là kiến thức về các đường MA. Hiểu rõ sự khác nhau giữa SMA, EMA và WMA giúp nhà đầu tư tránh sử dụng MA một cách máy móc.
Thứ hai là mục tiêu đầu tư của bản thân. Nhà đầu tư ngắn hạn cần MA phản ứng nhanh, trong khi nhà đầu tư trung và dài hạn cần MA đủ chậm để lọc nhiễu.
Thứ ba là điều nhà đầu tư cần ở đường MA, như xác định xu hướng, tìm điểm vào lệnh hay làm vùng hỗ trợ – kháng cự động.
Dựa trên các tiêu chí đó, MA thường được phân loại theo tốc độ phản ứng:
-
MA nhanh (chu kỳ 5–20): phù hợp với giao dịch ngắn hạn, lướt sóng
-
MA trung bình (chu kỳ 20–50): phù hợp với giao dịch trung hạn, theo xu hướng
-
MA chậm (chu kỳ 100–200): phù hợp với đầu tư dài hạn, xác định xu hướng tổng thể
Đặc biệt, MA200 thường được xem là ranh giới quan trọng giữa xu hướng tăng và xu hướng giảm trong dài hạn.
Kết luận
Đường trung bình (MA) là chỉ báo nền tảng trong phân tích kỹ thuật chứng khoán. Việc hiểu rõ bản chất, công thức tính, cách áp dụng và cách lựa chọn MA phù hợp với mục tiêu đầu tư sẽ giúp nhà đầu tư đọc xu hướng chính xác hơn, quản trị rủi ro tốt hơn và nâng cao hiệu quả giao dịch.
Tại khoahocchungkhoan.vn, MA luôn là bước khởi đầu bắt buộc cho hành trình đầu tư bài bản và bền vững.
Rất nhiều nhà đầu tư đã “mất bò mới lo làm chuồng”, thua lỗ xong mới cuống cuồng đi tìm kiến thức. Nhưng tại sao không làm ngược lại ngay từ đầu? Muốn đầu tư lâu dài, tự chủ – không lệ thuộc room phím hàng – không chạy theo tin đồn, bạn bắt buộc phải có nền tảng kiến thức thực chiến. Các khóa học tại khoahocchungkhoan.vn được xây dựng để học xong là áp dụng được ngay, học phí là khoản đầu tư đáng giá hơn rất nhiều so với một lần “xuống tiền sai”. Đầu tư là hành trình cả đời, và đầu tư cho tri thức chính là cách đi nhanh nhất để không phải trả giá đắt nhất. Đừng chờ mất tiền rồi mới học – hãy học ngay khi bạn còn đang chủ động.
ĐĂNG KÝ NGAY – ĐỪNG CHẦN CHỪ:
KHÓA HỌC: Chứng Khoán Online- Thực Chiến – ĐĂNG KÝ NGAY
KHÓA HỌC: Đầu tư Crypto – ĐĂNG KÝ NGAY
KHÓA HỌC: Đầu tư Forex Thực Chiến – ĐĂNG KÝ NGAY
KHÓA HỌC: Đầu tư Vàng Thực Chiến – ĐĂNG KÝ NGAY
